
In Activity 2, you finished by noticing that:
The information about slope and y-intercept is in every equation, but, as you have already seen, not all equations display the information in the same way. Using the slope y-intercept form, you can easily read slope and y-intercept values, while in the standard and alternate forms, some additional calculation is usually required.
In this activity you will be using the alternate form of the linear relation, Ax + By = C. Recall that in this form, A, B and C are integers(definition:any one of the numbers …,-3, -2, -1, 0, 1, 2, 3, …).
Download and open the document U3A3 Linear Relations Graph.
Follow the instructions to complete the work.
Save your work to your Portfolio.
In Part 1, you will explore equations that look different but produce the same graph. Using desmos to graph your equations provides a way to check or verify if your ideas are correct.
In Part 2, you will explore what happens when two linear relations are combined and graphed along with the two original equations.
To summarize what you were explored...
Equivalent equations:
Combining equations:
As you move forward in this activity, you will use the concepts of equivalent equations and combining equations to determine the point of intersection for a linear system.
In this activity, the Mathematical Process Reflecting is the focus. Open your document U3 Mathematical Processes and read the descriptions for the process.
As you complete the activity, notice when you are reflecting about the choices that you are making in working towards a solution.
Insert your record below the description of the process.
Open your Word Journal.
In the first column, write the word “equivalent.”
In the second column write down some everyday meanings for the word.
Leave the third column empty for now.
Save to your Portfolio.
In the previous activity, Activity 2, you learned to solve a linear system using the algebraic method of substitution. You rewrote one linear relation to isolate a variable and create an expression for the variable. You substituted that expression into the other linear relation creating an equation with only one variable. By eliminating a variable, you made it possible to solve the equation for the remaining variable.
In this activity, you will be solving a system of linear equations using an algebraic method called elimination. You will strategically select equivalent equations then add or subtract to eliminate one of the variables.
During the Minds On task, you looked at equivalent equations for a linear relation and noticed that you can create an equivalent equation by multiplying (or dividing) each term by the same value. With equivalent equations, every point on the line is a point of intersection with the other line.
You also looked at equations that were not equivalent; their slopes were different and they had one point of intersection. Additional equations were added to the same graph and they also passed through the same point of intersection. You noticed that the coefficients and constant value of each new equation were a result of adding or subtracting the like terms of the two initial equations.
You have seen that when the solution to a linear system is a point, it can be written as an ordered pair (e.g. (3, 1) ). The solution can also be seen on a graph as the intersection of the vertical line for the x value (e.g. x = 3) and a horizontal line for the y value (e.g. y = 1). Think about how you might use equivalent equations along with adding or subtracting terms to yield a horizontal or vertical line.
How do I know that a point of intersection exists? What information is available from each equation?
Find the point of intersection of the two linear relations:
How can you check that there will be one point of intersection?
I can check the slopes of the two equations. If the slopes are different a point of intersection exists.
What is the value of the slope for equation 1?
If I rearrange the equation to y = x - 1, I can see that the slope is 1.
What is the value of the slope for equation 1?
The y-intercept is 7 and the x-intercept is 7.
If I recall that the value for the slope is:
Otherwise, I can use the points (7, 0) and (0, 7) and calculate:
If I rearrange equation 2 as I did for equation 1, I get y = -x + 7, and I can confirm that the slope is -1.
Since the slopes of the two lines are different, a point of intersection must exist.
To solve an equation through the algebraic process of elimination, you will learn to add or subtract the coefficients in the equations in a way that the result will be the equation of a vertical line or a horizontal line. This means that through addition or subtraction, the coefficient of either the x term or the y term will be 0 and that term is eliminated.
The x term would be eliminated if the coefficients of x in the two equations were opposite integers and you added the like terms to yield 0x. Opposite integers are two integers that are the same distance away from 0 and on opposite sides of the number line (e.g.: 2 and -2, 6 and -6).
The x term would also be eliminated if the coefficients in the two equations were the same integers and you subtracted the like terms to yield 0x.
What are the coefficients of the x and y terms in each equation? Are they the same integer? Are they opposite integers?
Find the point of intersection of the two linear relations:
x - y = 1
x + y = 7
What are the coefficients of x and y in each equation?
In both equations, x has a coefficient of 1. In equation 1, the coefficient of y is -1 while in equation 2, it is 1.
Should I add or subtract the coefficients and the constant term?
It depends on which variable you would like to eliminate. If you add, the coefficients of y are opposite integers and the result will be 0y. So adding would eliminate the y variable and leave only the x variable. If you subtract, the coefficients of x are the same and the result will be 0x. Subtracting would eliminate the x variable and leave only the y variable. Either choice is acceptable.
If you use the two equations, x – y = 1 and x + y = 7, you could rearrange both equations to equal 0.
x – y = 1 becomes x – y – 1 = 0 and
x + y = 7 becomes x + y – 7 = 0.
Since both equations equal the same value, 0, they must be equal so you could write
x – y – 1 = x + y – 7
And now, using your equation-solving skills, you can rearrange the equation to combine like terms.
x – x – y – y -1 + 1 = x – x + y – y – 7 + 1
Notice that the bolded portions are the net result of adding/subtracting the same term on both sides of the equation. We are trying to achieve having variables on the left side of the equals sign and constants on the right side.
Notice that like terms are being combined. Here you can see that the resulting equation would be -2y = – 6, which can be simplified to y = 3.
Mathematicians use the idea of equations being equal to the same value (e.g. 0) to combine like terms, but they work with the equations in a simpler way.
| What you see written: | What you might be thinking: |
|---|---|
| x - y = 1 + ( x + y = 7) |
I would like to eliminate the y term because I see that the signs are opposite values. To eliminate the y term, I will add. I put brackets around the second equation to remind myself that I need to add every term. |
|
x - y = 1 |
With like terms aligned one below the other, I can add the coefficients of the variable terms and I can add the constant terms. |
| 2x + 0y = 8 | I see that I have a coefficient of 2 for x, a coefficient of 0 for y and a constant term of 8. I was able to eliminate the y term from the equation. |
| 2x = 8 | I simplified the equation. |
I am solving for x. |
|
| x = 4 | I have an equation of a vertical line. This is now similar to the previous method of solving by substitution. I can substitute x = 4 into one of the equations and get the value for y; I will use equation 1. |
I substituted 4 into the equation for x. I am solving for y. I have an equation of a horizontal line. |
|
| (4, 3) | I have a point on the line x - y = 1 and I need to check that it is also a point on the other linear relation, x + y = 7. |
|
x + y = 7
|
I substitute the values x = 4 and y= 3 into the equation and see that the left side(LS) of the equation has the same value as the right side (RS), so the point is on the line. |
| (4, 3) is the solution to the linear system. | I know that the point (4, 3) is a point on each line so it must be the point of intersection since the two lines can cross only at one place. Perhaps you notice that you got the same value, y = 3, as you expected to get |
In the example above, the coefficients were either the same or opposite values. You can see that if x was eliminated by subtraction first, the value for y, y = 3, would be used to determine the value for x.
In the next example, neither adding nor subtracting will eliminate a term because the coefficients of x and y are neither the same integer nor opposite integers. In this situation, we will introduce an equivalent equation to create the situation that will allow for one term to be eliminated.
Solve the system:
4x + 3y = 4
8x - y = 1
Neither x nor y have the same or opposite coefficients so I need to use my skills and create an equivalent equation that will allow me to add or subtract to eliminate a variable.
I see that I can multiply the first equation by 2 and then I can subtract the second equation to eliminate the x term.
OR....
I see that I can multiply the second equation by 3 and then add both equations to eliminate the y term.
Read each solution, eliminate x and eliminate the y variable first, to see the difference in the process but the identical answer at the end.
| What you see written | What you may be thinking | |
|---|---|---|
| 4x + 3y = 4 x 2 8x - y = 1 |
8x + 6y = 8 8x - y = 1 |
I can multiply each term in the first equation by 2 and have equal values for the coefficients of x in both equations. |
| 4x + 3y = 4 x 2 8x - y = 1 |
8x + 6y = 8 - (8x - y = 1) |
The coefficient of x in both terms is 8 so I will need to subtract to eliminate the x term. I put brackets around the second equation to remind myself that I need to subtract every term. |
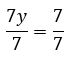
0x + 7y = 7 Individual steps: 8x - 8x = 0x 6y -(-y) = 7y 8 - 1 = 7 |
I subtracted and I eliminated x. | |
| 7y = 7 | I simplified the equation. |
|
I am solving for y. |
||
| y = 1 | I have an equation of a horizontal line. I can substitute y = 1 into one of the equations and get the value for x; I will use equation 1. |
|
I substituted 1 for into the equation. I solved for x. I have an equation of a vertical line. |
||
| (¼, 1) | I have a point on the line 4x + 3y = 4 and I need to check that it is also a point on the other linear relation, 8x - y = 1. |
|
|
8x - y = 1 RS = 1 |
I substitute the values for x and y into the equation and see that the left side (LS) of the equation has the same value as the right side (RS) so the point is on the line. |
|
| (¼ , 1) is the solution to the linear system. |
I know that the point (¼ ,1) is a point on each line so it must be the point of intersection since the two lines can cross only at one place. |
|
| What you see written | What you may be thinking | |
|---|---|---|
| 4x + 3y = 4 8x - y = 1 x 3 |
4x + 3y = 4 24x - 3y = 3 |
I can multiply each term in the second equation by 3 and have opposite values for the coefficients of y. |
| 4x + 3y = 4 8x - y = 1 x 3 |
4x + 3y = 4 +(24x - 3y = 3) |
The coefficient of y in each equation are opposite values so I will add to eliminate the y term. I put brackets around the second equation to remind myself that I need to add every term. |
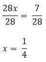
28x + 0y = 7 Individual steps: 4x + 24x = 28x 3y + (-3y) = 0 y 4 + 3 = 7 |
I added and I eliminated y. | |
| 28x = 7 | I simplified the equation. |
|
| |
I am solving for x. |
|
| 4x + 3y = 4 | I have an equation of a vertical line. I can substitute x = ¼ into one of the equations and get the value for y; I will use equation 1. |
|
4 ( ¼ ) + 3y = 4 1 + 3y = 4 3y = 4 – 1 3y = 1 y = 1 |
I substituted ¼ into the equation. I solved for y. I have an equation of a vertical line. |
|
| ( ¼ , 1) is the solution to the linear system. |
I know that the point (¼ ,1) is a point on each line so it must be the point of intersection since the two lines can cross only at one place. |
|
In the previous activity, you wrote a set of instructions to solve a linear system using substitution.
In these two recent activities, you have been solving a linear system graphically, by hand and with a calculator, and algebraically using substitution or elimination.
Each method produces the same solution for the same pair of equations regardless of the form used to write the equation.
If graphing by hand, it may be difficult to accurately determine the point of intersection.
Write a guideline for another student to follow when deciding which of the three methods, graphing by hand, substitution, or elimination, to use when solving a linear system. You may wish to include examples to illustrate your instructions/choices.
Include in your guideline:
Share your guidelines with a friend.
1. Solve the linear system. Verify the solution. 4x + 2y = -10 and 2x - 3y = 7
2. Solve the linear system. Verify the solution. 2x + y = 3 and 3x - y = 1
Save your solutions to your Portfolio.
Download and complete the document U3A3 Solving Systems Assignment.
Open your Word Journal.
Complete the third column for the word “equivalent”.
Save to your Portfolio.
Both methods, eliminate x first or eliminate y first, produced the same result through a different but equivalent pathway. Regardless of the choice of pathway, you probably noticed that the same steps were followed using the different values.
The previous example would have been difficult to solve graphically by hand because one of the coordinates of the solution, graphically the point of intersection, is not an integer value. It may take a number of tries to approximate the correct value for x from the graph. An algebraic solution is more timely and efficient.
Open the document U3A3 Solving Systems Practice.
You have been working with systems of linear equations that have solutions or a point of intersection. You recognized earlier that any two lines with different slopes will intersect and it is possible to solve the system using one of the three methods that you have learned. You could solve by graphing, solve algebraically using substitution, or solve algebraically using elimination.
Some linear systems will not yield one point of intersection. A linear system with two parallel lines does not have a point of intersection while a linear system with two equivalent equations or the same line will have an infinite number of points in common.
You already know what they look like graphically but it is also useful to know what these look like algebraically. The three situations below show the three different outcomes.
Solve the system
y = 2x + 1
y = -3x - 4
Substitution: replace y with -3x – 4
2x + 1 = -3x - 4
2x + 3x = -4 - 1
5x = -5
x = -1
Solution is possible.
Elimination: rearrange y = -3x – 4 to 3x + y = -4
2x - y = -1
+3x + y = -4
5x + 0y = -5
x = -1
Solution is possible.
You determined the value for x in the point of intersection and would continue and determine the value for y. The point of intersection occurs because the slopes of the two lines are different. (One slope is 2 and the other is -3).
Substitution: replace y with 2x + 4
2x + 1 = 2x + 4
0x = 2
0 = 2?
There is no solution to this equation, so a solution to the system of equations is not possible.
Elimination: subtract equation 2 from equation 1 y = 2x + 1
- (y = 2x + 4)
0y = 0x - 3
0y = -3
0 = -3?
There is no solution to this equation, so a solution to the system of equations is not possible.
Should you have a solution occur like this, where 0 = a value that is different from 0, look at your equations. Are the slopes the same or are they different?
Substitution: Since y = 2x + 1 by equation 1, replace y in equation 2 with 2x + 1
6x - 3(2x + 1) = -3
6x - 6x - 3 = -3
0x - 3 + 3 = -3 + 3
0x = -3 + 3
0x = 0 (Note the difference between this result and the previous panel. In the previous panel, you saw 0y =-3, which has no solution).
Any value of x will solve this equation, since 0 times any number is still 0.
For every value of x, the y values are the same for both equations. The two lines intersect at every point on the lines. The two lines must be equivalent.
Elimination:
To eliminate x, multiply equation 1 by 3:
3 x (2x - y = -1) gives the equivalent equation
6x - 3y = -3.
But this is the same as equation 2.
The two equations are equivalent, so they have the same graphical representation. They are the same line, so intersect everywhere along the lines.
In the previous activity, you wrote a set of instructions to solve a linear system using substitution.
In these two recent activities, you have been solving a linear system graphically, by hand and with a calculator, and algebraically using substitution or elimination. Each method produces the same solution for the same pair of equations regardless of the form used to write the equation. If graphing by hand, it may be difficult to accurately determine the point of intersection. Write a guideline for a student to follow when deciding which of the three methods, graphing by hand, substitution, or elimination, to use when solving a linear system. You may wish to include examples to illustrate your instructions/choices.
Include in your guideline:
Share your guidelines with a friend.
1. Solve the linear system. Verify the solution.
4x + 2y = -10
2x - 3y = 7 2
2. Solve the linear system. Verify the solution.
2x + y = 3
3x - y = 1
Save your solutions in your Portfolio.
Download and open the document U3A3 Solving Systems Assignment.
Open your Word Journal. Complete the third column for the word “ equivalent”.
Save to your Portfolio.
Complete your entry for the Mathematical Process Reflecting in the document U3 Mathematical Processes.
What did you notice about the choices that you made as you worked to determine the solution for a linear system?
Save to your Portfolio.
You have explored the process of solving a linear system by using equivalent equations to create another equation that is either the horizontal line or the vertical line that passes through the point of intersection. You eliminated either the x term or the y term to produce the new equation. From there, you used the information to determine the point on one line and then verify that the same point was also on the second line.
Congratulations, you have completed Unit 3, Activity 3. You may move on to Unit 3, Activity 4.